设为首页
|
收藏本站
|
网站地图
400-027-0075
首页
产品中心
产品列表
推荐产品
选型指南
鉴定证书
新闻中心
企业新闻
行业新闻
技术交流
销售服务
服务体系
成功案例
销售网络
关于我们
企业简介
企业文化
组织结构
资格证书
人才中心
人才招聘
人才策略
联系我们
搜索:
更多>>
新闻中心
>
企业新闻
>
行业新闻
>
技术交流
更多>>
产品分类
> 串联谐振耐压试验设备
TLHG-603系列发电机工频耐压试验
TLHG-605CVT检验用谐振升压装置
TLHG-607系列电缆交流耐压试验装
TLHG-606变电站电气设备交流耐压
TLHG-608系列变频串联谐振设备
> 高压耐压试验设备
TLHG-YD(K)口罩熔喷布静电驻极发
TLHG-YD系列无局放试验变压器
TLHG-110冲击电流发生器
TLHG-109冲击电压发生器
XC-II智能操作箱
XC系列控制箱
TC系列控制台
TC-II智能控制台
GYD干式试验变压器
TLHG-101电子式多倍频发生器
YDQ充气式试验变压器
YD油浸式试验变压器
TLHG-102系列三倍频电源发生器
TLHG-DJ系列电机耐压试验装置
TLHG-105系列电容分压器高压测量
TLHG-106系列交直流分压器
TLHG-108-60kV/2mA直流高压发生器
TLHG-108-200kV/2mA直流高压发生器
TLHG-103系列超低频高压发生器
> 变压器检测设备
2023-Z在线局部放电检测仪
TLHG-2023四通道局部放电检测仪
TLHG-2025数字式局部放电检测仪
TLHG-2019变压器短路阻抗测试仪
TLHG-2018变压器有载开关测试仪
TLHG-206抗干扰介损自动测试仪
TLHG-208变压器损耗参数测试仪
TLHG-207变压器容量及损耗参数测
TLHG-2011绝缘油介电强度测试仪
TLHG-2015绝缘油介电强度测试仪
TLHG-2013绝缘油介电强度测试仪
TLHG-2016绝缘油介电强度测试仪
TLHG-2017变压器有载分接开关测
TLHG-2012绝缘油介电强度测试仪
TLHG-205T特种变压器变比组别测
TLHG-205全自动变比组别测试仪
TLHG-2020变压器绕组变形测试仪
TLHG-209绝缘油介质损耗测试仪
TLHG-2022系列真空滤油机
TLHG-203系列变压器综合测试台
TLHG-201-3直流电阻测试仪
TLHG-201-5直流电阻测试仪
TLHG-201-10直流电阻测试仪
TLHG-202-10三通道直流电阻测试仪
TLHG-201-50直流电阻测试仪
> 断路器、继电器、开关检测设备
TLHG-303高压开关动特性测试仪
TLHG-307断路器动特性分析仪
TLHG-306断路器动特性分析仪
TLHG-305断路器动特性分析仪
TLHG-302真空度测试仪
TLHG-3011回路电阻测试仪
TLHG-3012回路电阻测试仪
TLHG-3013智能型大电流试验装置
TLHG-DG系列大电流发生器
TLHG-3030高低压开关柜通电试验
TLHG-308断路器动特性分析仪
> 互感器检测设备
TLHG-503CT伏安变比极性综合测试
TLHG-505互感器综合测试仪
TLHG-506互感器伏安变比极性综合
TLHG-501CT伏安变比极性综合测试
TLHG-507变频式互感器综合测试仪
> 继电保护、二次回路测试设备
TLHG-1200微机继电保护测试仪
TLHG-1000微机继电保护测试仪
TLHG-860微机继电保护测试仪
TLHG-702微机继电保护测试仪
TLHG-502单相继电保护测试仪
TLHG-7013数字双钳相位伏安表
TLHG-7016数字双钳相位伏安表
TLHG-7015三相钳形相位伏安表
TLHG-7017型数字式三相移相器
> 电缆、线路检测设备
TLHG-713手持式多功能电缆探测仪
TLHG-712电缆管线路径探测仪
TLHG-CT20双向台区用户识别仪
TLHG-70通信电缆测试仪
TLHG-703D全智能多次脉冲电缆故
TLHG-711电缆故障测试仪
TLHG-710电缆故障测试仪
TLHG-701电缆故障测试仪
TLHG-7010输电线路故障距离测试
TLHG-7011异频线路参数测试仪
TLHG-7012工频线路参数测试仪
TLHG-706电缆识别仪
TLHG-707相序识别仪
TLHG-709高压语音核相器
TLHG-708高压无线核相器
TLHG-703电缆故障测试仪
TLHG-705路灯电缆故障测试仪
> 避雷器、绝缘子检测设备
TLHG-803氧化锌避雷器特性测试仪
TLHG-805氧化锌避雷器直流参数测
TLHG-806氧化锌避雷器测试仪
TLHG-807避雷器计数器检测仪
TLHG-808智能电导盐密度测试仪
TLHG-802氧化锌避雷器带电测试仪
TLHG-801三相氧化锌避雷器测试仪
> 接地电阻测试设备
TLHG-901大型地网接地电阻测试仪
TLHG-902直流系统接地故障测试仪
TLHG-903S双钳口接地电阻测试仪
TLHG-905钳形接地电阻测试仪
TLHG-2571数字接地电阻测试仪
TLHG-906接地线成组直流电阻测试
TLHG-907接地引下线导通测试仪
TLHG-908接地引下线导通测试仪
TLHG-903接地电阻测试仪
> 绝缘电阻测试设备
TLHG-2010智能双显绝缘电阻测试
TLHG-2000智能双显绝缘电阻测试
TLHG-2550系列指针式绝缘电阻测
TLHG-2672数字式兆欧表
TLHG-2671数字式兆欧表
TLHG-2670数字式兆欧表
> 无功补偿装置(电容)检测设备
TLHG-2205电容测试仪
TLHG-2201全自动电容电桥测试仪
TLHG-2202全自动电容电感测试仪
TLHG-2203配电网电容电流测试仪
> 电能计量检测设备
TLHG-3315多用工频比率电源
TLHG-3301多功能电能表现场校验
TLHG-3305高低压电流互感器变比
TLHG-3303互感器校验仪
TLHG-3306互感器现场误差综合测
TLHG-3307电流互感器现场测试仪
TLHG-3308电压互感器现场测试仪
TLHG-3309二次负荷测试仪
TLHG-3311自升流精密电流互感器
TLHG-3312自升压精密电压互感器
TLHG-3310电流互感器负荷箱
TLHG-3313电压互感器负荷箱
TLHG-3302手持式三相电能表现场
> SF6气体检测设备
TLHG-5501S SF6微量水分测量仪
TLHG-5508 SF6微水密度综合变送器
TLHG-5501 SF6微量水分测量仪
TLHG-5502 SF6微水测试仪
TLHG-5503 SF6气体检漏仪
TLHG-5505 SF6气体定性检漏仪
TLHG-5506 SF6气体纯度分析仪
TLHG-5507 SF6密度继电器校验仪
> 红外测试设备
TLHG-6601红外人体表面温度快速
TLHG-6602红外监控系统
TLHG-6603夜视红外热像仪
TLHG-6606红外热成像仪
TLHG-6605红外成像仪
> 油化分析设备
TLHG-7712全自动界面张力仪
TLHG-7706气相色谱仪
TLHG-7701开口闪点全自动测定仪
TLHG-7702闭口闪点全自动测定仪
TLHG-7703微量水分测定仪
TLHG-7705运动粘度测定仪
> 安全工器具检测设备
TLHG-7708电力安全工具器具力学
TLHG-7709绝缘靴(手套)耐压试
GDY-II验电器
安全带
标识牌
不锈钢伸缩围栏
个人保安线
绝缘凳
绝缘手套
绝缘梯
绝缘靴
拉闸杆
> 蓄电池检测设备
TLHG-8809智能充电放电综合测试
TLHG-8801蓄电池内阻测试仪
TLHG-8802蓄电池内阻测试仪
TLHG-8803智能蓄电池内阻测试仪
TLHG-8805蓄电池在线监测系统
TLHG-8806智能电池活化仪
TLHG-8807智能蓄电池放电监测仪
TLHG-8808智能充电放电综合测试
> 发电机检验设备
TLHG-8812便携式波形记录仪
TLHG-8811发电机转子交流阻抗测
TLHG-8810水内冷发电机绝缘电阻
> 其它测试设备及附件
TLHG-9902直流数字微安表
TLHG-9905高压钳形漏电流表
TLHG-9903系列放电保护球隙
TLHG-9001矿用开关插件保护性能
放电棒
标准油杯
大电流导线
关于串联谐振的一些小知识
您的位置:
首页
> 关于天立华高
摘要:先容了高压
串联谐振
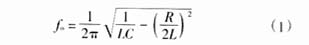
技术的原理与应用,分析了利用4046锁相控制逆变器的结构和启动电路,同时对高压变压器寄生漏感与负载串联谐振原理作了先容。15kVA样机测试结果表明,用该方法可以得到满足的输出波形,实现高功率因素。
主营产品:
直流电阻测试仪
|
串联谐振
|
继电保护测试仪
|
调频串联谐振
|
互感器测试仪
|
高压开关测试仪
|
调频串联谐振
|
开关测试仪
|
继电保护装置
|
变频串联谐振
|
微机继电保护测试仪
|
回路电阻测试仪
|
电缆故障测试仪
|
冲击电流发生器
|
10A直流电阻测试仪
|
冲击电压发生器
|
路灯电缆故障测试仪
|
断路器动特性分析仪
|
开关特性测试仪
|
波形记录仪
|
电阻测试仪
扫一扫
关注天立华高微信
地址:武汉市东湖风景区先锋工业园天立大厦2幢(430083)│销售:027-86385231,027-86385331,18963984838│传真:027-86385331│售后:86385451│邮箱:whtlhgdq@163.com
版权所有 Copyright © 2012-2014 武汉天立华高电气设备有限公司 备案号:
鄂ICP备16009449号-1